Determination of the ground state polarizability of 162Dy near 530 nm

Open-shell lanthanide atoms, and dysprosium in particular, combine a large ground-state angular momentum with dense electronic spectra, making their dynamical polarizability strongly dependent on wavelength and internal state and therefore particularly challenging to characterize accurately. This issue has become especially relevant with the recent development of single-atom trapping of dysprosium in optical-tweezer arrays, where precise knowledge of the polarizability is needed to design optimized trapping architectures. Here, we exploit the strong spin-dependent light shift near the $J’=J-1$ intercombination line at \SI{530.306}{\nano\meter} to determine the background scalar and vector polarizabilities of $^{162}$Dy in its ground state near this wavelength. Our measurements quantitatively agree with atomic-structure calculations and provide new insight into the contributions of nearby transitions in a spectral region relevant to emerging dysprosium tweezer platforms.
More details on arXiv
Two-Body Contact Dynamics in a Bose Gas near a Fano-Feshbach Resonance

We investigate the real-time buildup of short-range correlations in a nondegenerate ultracold Bose gas near a narrow Fano-Feshbach resonance. Using rapid optical control, we quench the closed-channel molecular energy to resonance on sub-microsecond timescales and track the evolution of the two-body contact through photo-dissociation losses. Repeated pulse sequences enhance sensitivity to early-time two-body losses and reveal long-lived coherence between atom pairs and molecular states. The observed dynamics are accurately reproduced by our dynamical two-channel zero-range theory, which explicitly accounts for the resonance’s narrow width and finite closed-channel decay, establishing a predictive framework for correlation dynamics in quantum gases near Fano-Feshbach resonances.
More details on arXiv
Check it now on Physical Review Letters !
Production and stabilization of a spin mixture of ultracold dipolar Bose gases

Mixtures of ultracold gases with long-range interactions are expected to open new avenues in the study of quantum matter. Natural candidates for this research are spin mixtures of atomic species with large magnetic moments. However, the lifetime of such assemblies can be strongly affected by the dipolar relaxation that occurs in spin-flip collisions. Here we present experimental results for a mixture composed of the two lowest Zeeman states of Dy atoms, that act as dark states with respect to a light-induced quadratic Zeeman effect. We show that, due to an interference phenomenon, the rate for such inelastic processes is dramatically reduced with respect to the Wigner threshold law. Additionally, we determine the scattering lengths characterizing the s-wave interaction between these states, providing all necessary data to predict the miscibility range of the mixture, depending on its dimensionality.
More details on arXiv
Check it now on Physical Review Letters !
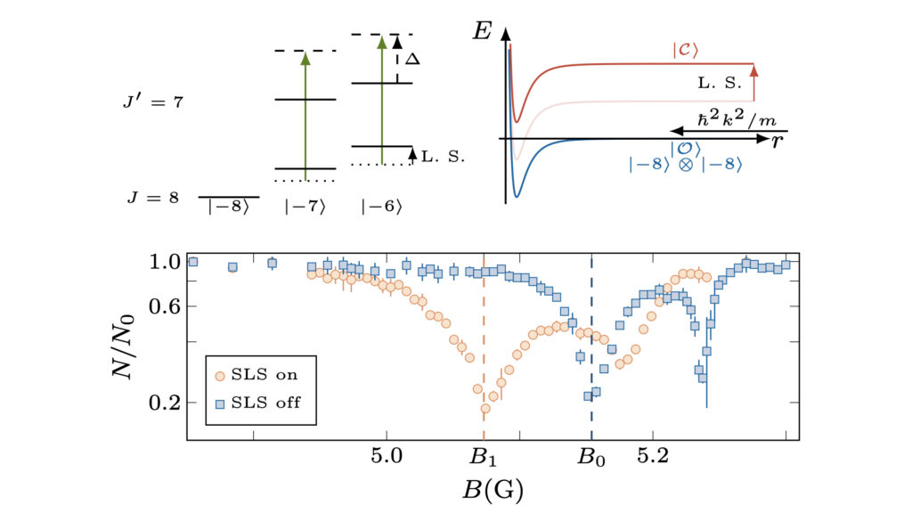
Loss features in ultracold 162Dy gases: two- versus three-body processes

We quantitatively investigate the low-field (B<6G) loss features in ultracold thermal samples of 162Dy, revealing two- and three-body dominated loss processes. We investigate their temperature dependence and detect a feature compatible with a d-wave Fano-Feshbach resonance, which has not been observed before. We also analyse the expansion of the dipolar Bose-Einstein condensate as a function of the magnetic field and interpret the changes in size close to the resonances with a variation in the scattering length.
More details on Physical Review A (Editors’ suggestion)
Construction of the experimental setup


January 2023: Dysprosium atoms loaded into our optical crossed dipole trap!

July 2022: We got our first Dy MOT!




February 2022: First fluorescence signal from the oven on the 626 nm line (we have atoms!)




July 2021: The very first picture. Here we go!